Dari tabel integrasi fungsi di atas coba selesaikan dengan metoda trapezoida dan metoda simphson.
Untuk penjelasan apa itu metoda trapezoida dan simphson bisa dilihat di posting saya sebelumnya.
Berikut algoritma untuk menyelesaikan permasalahan di atas:
(1) Definisikan y=f(x)
(2) Tentukan batas bawah (a) dan batas atas integrasi (b)
(3) Hitung h=(x2-x1)/ 2
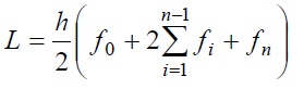
(4) Hitung
metoda simphson:
Berikut tampilan userform yang saya buat:
Tampilan Syntac Visual Basic
Adapun hasil setelah di running yaitu:
Jika dibandingkan nilai yang di dapatkan dari aturan tripazeioda dan simphson maka dapat diambil kesimpulan Metode simphson mempunyai kesalahannya sangat kecil, sehingga menjadi alternatif yang baik dalam perhitungan integral dan penerapannya khususnya di bidang teknik.





bang eko, untuk yang simpson rule, dibuku dijelaskan kalau dua fx awal digunakan trapezodial, selanjutnya baru simspon, kalau semua dihitung pakai simson hasilnya berapa? di program yang saya bikin hasilnya 3.6 untuk simson, 3.1 untuk trapezodial
BalasHapusF(x) awal memang benar digunakan untuk trapezoidal dan setelahnya baru simphson. Untuk perbedaan nilai simphson kayak kita berdua harus diskusi? Akan saya cek kembali persamaan yang saya gunakan untuk simphson dicuriga salah dalam memasukkan variabel.
HapusTerimakasih kasih atas commentnya Mas Hasnam.
Tidak ada gading yang tidak retak,jangan sungkan-sungkan memberikan saya advice atau koreksi agar menjadi lebih baik lagi.